Contoh soalan addmath logaritma instagram contoh soalan addmath logaritma dalam contoh soalan addmath logaritma dasar contoh soalan addmath logaritma youtube contoh soalan psikometrik spa contoh soalan spm contoh soalan pksk contoh soalan kaji selidik contoh soalan muet
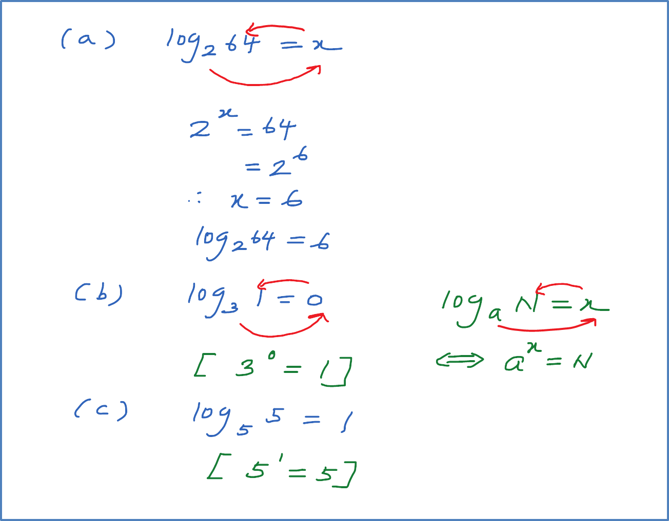
Contoh Soalan Addmath Logaritma. Sila komen di ruang komen di bawah untuk sebarang pertanyaan atau cadangan soalan, nyatakan latihan, mukasurat dan nombor soalan. Jom kita ringkaskan persamaan logaritma :

Ini baru dipanggil satu persamaan.
Koleksi soalan, latihan, nota, modul matematik tambahan tingkatan 4 (form 4 additional mathematics) +. Ok, soalan persamaan indeks dan logaritma merupakan soalan yang agak femes dalam kertas 1 matematik tambahan spm. Diberi bahawa p= 3r dan q = 3t, ungkapkan yang berikut dalam sebutan r dan/ atau t. Boleh tolong saya x cikgu.??
